细胞防护板配重链的设计
当前所在位置: 首页 » 消息 » 细胞防护板配重链的设计

细胞防护板配重链的设计

浏览数量: 0     作者: 本站编辑     发布时间: 2022-06-01      来源: 本站

询价

["facebook","twitter","line","wechat","linkedin","pinterest","whatsapp"]

配重链的设计 细胞防护板

摘要:本文介绍了细胞防护板配重链的设计过程。如配重链的选择和布置、配重链张力的计算方法等。

关键词: 橡胶护舷, 前框架,配重链,橡胶柔性链,配重链张力


单元式橡胶护舷系统主要由单元式橡胶护舷本体和抗冲击板组成。防撞板安装在橡胶护舷前端的钢结构附件,用于承受船舶的冲击,增加橡胶护舷与船舶的接触面积,以降低橡胶护舷对船舶的表面压力.在正常情况下,电池橡胶护舷本身可以支撑冲击板的重量。但当防撞板的重量超过表一规定的允许静载荷时,或橡胶护舷规格超过2000H时,应安装重力链,以保证橡胶护舷系统的正常运行,如图1所示。图一。

图一

配重链布局

配重链一般在冲击板的重力作用下布置在单元式橡胶护舷筒内,橡胶护舷的一端在两侧,链条的一端固定在冲击板上,另一端固定在岸墙,如图一所示

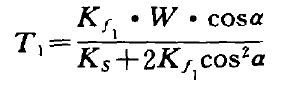
重量链条张力计算

T=T1+T2

W:冲击板的重量

Ks:护舷的剪切弹性系数

Kf:橡胶弹簧链的弹性系数

α :橡胶弹簧链与Z轴的夹角

β :橡胶弹簧链与X轴的夹角



订阅我们的新闻

获取有关新产品和即将到来的销售的最新更新
中国中海橡胶(青岛)实业有限公司(CMR)是中国专业生产船用橡胶护舷和工程橡胶制品的企业。

快速链接

产品

联系我们

 : 18766396886
 : 13953283589
 : 中国青岛胶州市胶北工业区
版权所有 © 2022 中国中海橡胶(青岛)实业有限公司 网站地图 |鲁ICP备2022012721号|技术来自leadong.com